来源:国家能源局 时间:2025-10-22 16:22
国家能源局
公告
2025年 第5号
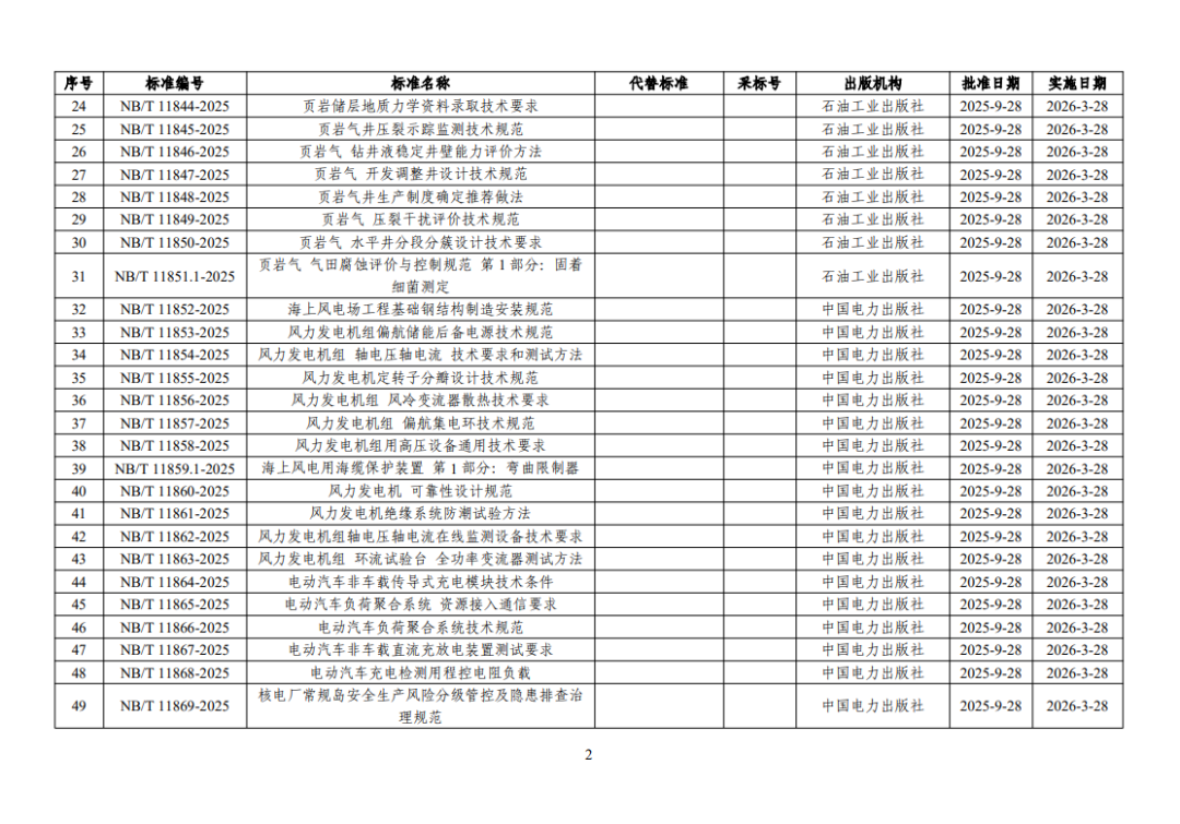
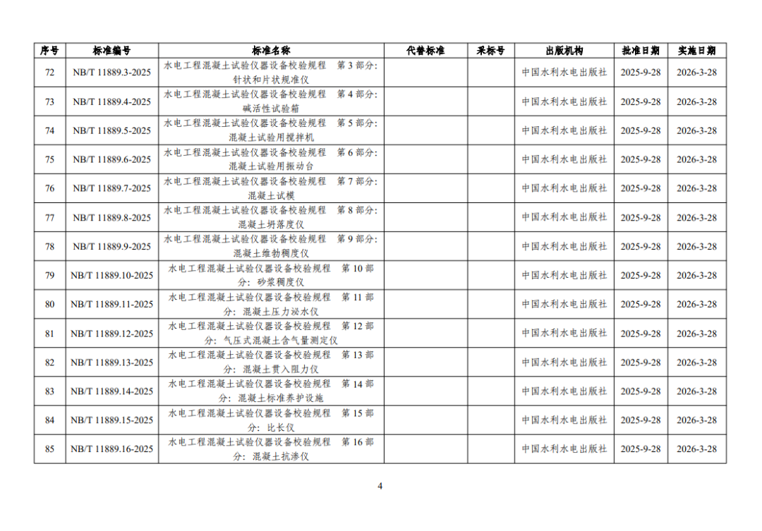
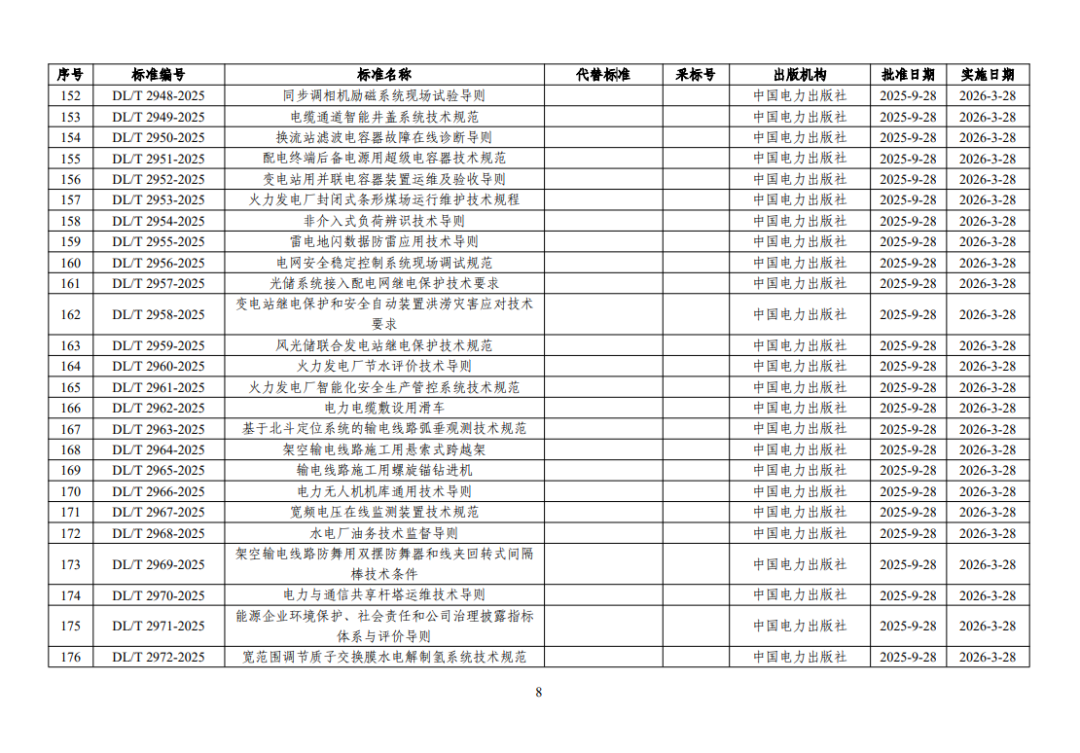
根据《中华人民共和国标准化法》《能源标准化管理办法》,国家能源局批准《注蒸汽用高温起泡剂评价方法》等307项能源行业标准(附件1)、《Standard for quality of biomethane》等35项能源行业标准外文版(附件2)、《水电工程覆盖层钻探技术规程》等3项能源行业标准修改通知单(附件3),现予以发布。
附件: 1.行业标准目录
2.行业标准外文版目录
3.行业标准修改通知单
国家能源局
2025年9月28日




















责任编辑:于彤彤